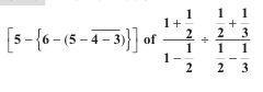
GIVEN SERIES OF CALCULATIONS
Operations or functions is done in a specific order as each letter of BODMAS in same as multiplication.
B → Brackets and order of operation of brackets is { }, [ ], ( )
O → Of (calculation is done on the order as multiplication)
D → Division
M → Multiplication
A → Addition
S → Subtraction
So, first we solve the brackets and order of moving outwards. Then we perform ‘of’ which means multiplication, then division and subtraction can be done together or separately as addition.
Addition and subtraction can be done together or separately as required.
Between any two brackets if there is not any sign of addition, subtraction and division it means multiplication.
(20 ÷ 5) (7 + 3 × 2) = 4 × 13 = 52 + 8 = 60
BRACKETS
Brackets are known as grouping (or bar) of things or entities. The various kind of brackets are:
(i) { } is known as line for line groups or entities. We round brackets.
(ii) [ ] is known as rectangular bracket or middle bracket.
(iii) ( ) is known as circular bracket or small bracket.
(iv) Brackets are known as parenthesis, brace or middle bracket.
(v) We use brackets as per requirement.
Illustration : Let's break down the expression step by step using BODMAS:


0