Your Worksheet is Ready
CBSE - Class 11 Mathematics Complex Numbers Worksheet
Express the complex number
in the form $a + ib$.
Express the complex number
in the form $a + ib$.
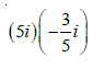
Express the complex number
in the form $a + ib$.
Express the complex number
in the form $a + ib$.
Express the complex number
in the form $a + ib$.
Express the following expression in the form of $a + ib$: 
Find the multiplicative inverse of the complex number
.
Worksheet Answers